2020年9月22日
防油织物易于清洁,减少了保养费用,能保持织物的自然外观并改善织物的透气性和耐化学性,是一种理想的面料。利用长链全氟化合物(PFC-)作为低表面能织物整理剂能提高纺织品的防油性、防水性和耐久性。但是,基于PFC的产品会危害环境和人类健康。
近日,《环境科学与技术》杂志报道,一些新型含氟化合物已出现在北冰洋海水中,而且北极熊血液和其他野生动植物中也均检测到这些物质。为了应对这些环境问题,纺织品制造商已开始使用短链PFC。但短链PFC的副产物仍具有毒性,且拒油性较差,因而逐步被服装工厂淘汰。据之前研究学者对织物整理剂的研究表明,如果没有全氟化合物,就无法实现拒油性,这使得寻找其替代品成为亟待解决的问题。
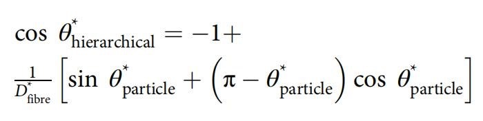
为了解决这一问题,近日,哥伦比亚大学Kevin Golovin课题组开发了使用不含PFC的表面化学材料制造防油纺织品整理剂的设计参数。他们认为:当织物的尺寸、间距和表面化学性质以及附加较小的长尺度纹理都得到适当控制时,会表现出强大的抗油性。并提出可以对不使用全氟化物质的疏油纺织品整理剂进行合理设计的方程式:
相关研究以“Rational design of perfluorocarbon-free oleophobic textiles”为题发表在Nature Sustainability上。
文章链接:https://www.nature.com/articles/s41893-020-0591-9
※ 有关作品版权事宜请联系:010-84463638转8850 电子邮箱:info#texleader.com.cn
bet伟德娱乐手机版官方微信

© 2025 伟德的真网址 版权所有
京ICP备10009259号-3
京公网安备 11010502045125号