2020年8月18日
夏季,蚊虫躁动,蚊虫叮咬不仅会给人们的生活带来困扰,甚至会导致某些疾病的传播。传统的纺织品驱虫处理方法会因受到反复洗涤而耐久性有限,使用杀虫剂则可能会对人体产生刺激性或毒性。

派卡瑞丁是目前市场上相对安全、可替代避蚊胺(DEET)的驱蚊成分。美国海军研究部通过将派卡瑞丁与尼龙66纳米纤维进行物理混合,采用静电纺丝法控制分层结构中功能性纤维的组成,从而实现驱虫剂的可控释放。结果显示,在高达50wt%的负载浓度下,尼龙的尺寸和形态也不受派卡瑞丁掺入的影响。派卡瑞丁的释放动力主要取决于负载浓度和温度,派卡瑞丁与尼龙的分子间相互作用极小,可提供基于扩散的释放。另外,研究团队还开发了同轴纳米纤维,其皮层成分可有效保护芯部添加剂,延长释放时间。
尼龙66(左)和派卡瑞丁(右)的化学结构
单丝尼龙/派卡瑞丁(NP)复合材料的扫描电子显微照片
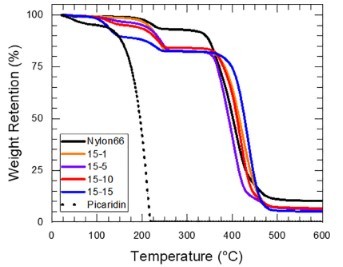
尼龙/派卡瑞丁(NP)复合纤维的热重分析(TGA)曲线
同轴尼龙/派卡瑞丁(NP)复合材料的扫描电子显微照片。
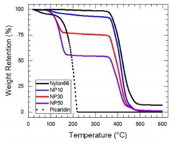
同轴纳米纤维复合材料的热重分析(TGA)曲线
论文题目:Controlled release of the insect repellent picaridin from electrospun nylon-6,6 nanofibers
DOI: 10.1002/pat.5028
(来源:易丝帮)
※ 有关作品版权事宜请联系:010-84463638转8850 电子邮箱:info#texleader.com.cn
bet伟德娱乐手机版官方微信

© 2025 伟德的真网址 版权所有
京ICP备10009259号-3
京公网安备 11010502045125号